
3
Special Right Triangles

3
Trig Laws Part 1

6
Unit Circle

3
Trig Laws Part 2

10
Trig Problems Part 1

8
Trig Problems Part 2

3
Functions

4
Domain

9
Piecewise Functions

4
Composite Functions

4
Functions & Graphs

8
Trig Funtions

4
Inverse Functions

9
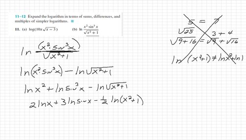
Logarithms

5
Graphical Limits

5
Computational Limits

15
Infinite Limits

7
Trig Limits

4
Limit Practice Problems

5
Definition of the Derivative

7
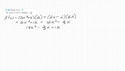
Power Rule

17
Product Rule & Quotient Rule of Differentiation

7
Trig Derivatives

16
Chain Rule

8
Implicit Differentiation

19
Derivatives of logs and e

9
Related Rates

4
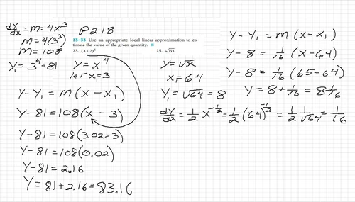
Local Linear Approximation

7
L'Hospital's Rule

14
Graphing and the Derivative

11
Maximum-Minimum Problems

5
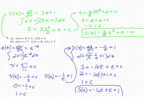
Motion Along a Line

6
Rolle's and Mean-Value Theorem

22
Review Problems for Applications of the Derivative

9
Integrals

12
Integrals with U-Substitution

10
Definite Integrals

9
Definite Integrals with U-Substitution

10
Practice Integral Problems

7
Integrals and Motion

6
Average Value

9
Simple Differential Equations

7
Additional DiffEQ Problems

6
Riemann Sums

22
Integrals: Area and Volume
0
New Page